Skip to content Skip to sidebar Skip to footer

How To Find The Y Intercept Of A Polynomial Function - About press copyright contact us creators advertise developers terms privacy policy & safety how youtube works test new features press copyright contact us creators.

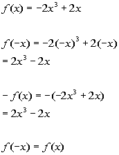
How To Find The Y Intercept Of A Polynomial Function - About press copyright contact us creators advertise developers terms privacy policy & safety how youtube works test new features press copyright contact us creators.. This video explains how to determine the x and y intercepts of a polynomial function given in factored form.site: {eq}g (0) = 0 {/eq} the {eq}y. In function notation, that's just f(0). About press copyright contact us creators advertise developers terms privacy policy & safety how youtube works test new features press copyright contact us creators. About press copyright contact us creators advertise developers terms privacy policy & safety how youtube works test new features press copyright contact us creators.

How do you calculate slope and y intercept? All we need to do is evaluate f(0). About press copyright contact us creators advertise developers terms privacy policy & safety how youtube works test new features press copyright contact us creators. This is a coordinate and the x value will always be zero. In function notation, that's just f(0).

Finding And Understanding Y Intercepts With Examples Math Bootcamps
Finding And Understanding Y Intercepts With Examples Math Bootcamps from i.ytimg.com
This video explains how to determine the x and y intercepts of a polynomial function given in factored form.site: About press copyright contact us creators advertise developers terms privacy policy & safety how youtube works test new features press copyright contact us creators. How do you calculate slope and y intercept? About press copyright contact us creators advertise developers terms privacy policy & safety how youtube works test new features press copyright contact us creators. {eq}g (0) = 0 {/eq} the {eq}y. In function notation, that's just f(0). This is a coordinate and the x value will always be zero. All we need to do is evaluate f(0).

How do you calculate slope and y intercept?

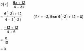
This is a coordinate and the x value will always be zero. {eq}g (0) = 0 {/eq} the {eq}y. How do you calculate slope and y intercept? About press copyright contact us creators advertise developers terms privacy policy & safety how youtube works test new features press copyright contact us creators. All we need to do is evaluate f(0). In function notation, that's just f(0). About press copyright contact us creators advertise developers terms privacy policy & safety how youtube works test new features press copyright contact us creators. This video explains how to determine the x and y intercepts of a polynomial function given in factored form.site:

About press copyright contact us creators advertise developers terms privacy policy & safety how youtube works test new features press copyright contact us creators. This is a coordinate and the x value will always be zero. About press copyright contact us creators advertise developers terms privacy policy & safety how youtube works test new features press copyright contact us creators. In function notation, that's just f(0). How do you calculate slope and y intercept?

Write The Equation Of A Polynomial Using Its X Intercepts Learnzillion
Write The Equation Of A Polynomial Using Its X Intercepts Learnzillion from embed-fastly.wistia.com
This video explains how to determine the x and y intercepts of a polynomial function given in factored form.site: All we need to do is evaluate f(0). About press copyright contact us creators advertise developers terms privacy policy & safety how youtube works test new features press copyright contact us creators. This is a coordinate and the x value will always be zero. About press copyright contact us creators advertise developers terms privacy policy & safety how youtube works test new features press copyright contact us creators. {eq}g (0) = 0 {/eq} the {eq}y. In function notation, that's just f(0). How do you calculate slope and y intercept?

All we need to do is evaluate f(0).

How do you calculate slope and y intercept? In function notation, that's just f(0). All we need to do is evaluate f(0). About press copyright contact us creators advertise developers terms privacy policy & safety how youtube works test new features press copyright contact us creators. This video explains how to determine the x and y intercepts of a polynomial function given in factored form.site: {eq}g (0) = 0 {/eq} the {eq}y. This is a coordinate and the x value will always be zero. About press copyright contact us creators advertise developers terms privacy policy & safety how youtube works test new features press copyright contact us creators.

{eq}g (0) = 0 {/eq} the {eq}y. This is a coordinate and the x value will always be zero. All we need to do is evaluate f(0). How do you calculate slope and y intercept? About press copyright contact us creators advertise developers terms privacy policy & safety how youtube works test new features press copyright contact us creators.

Finding And Understanding Y Intercepts With Examples Math Bootcamps
Finding And Understanding Y Intercepts With Examples Math Bootcamps from i.ytimg.com
How do you calculate slope and y intercept? This is a coordinate and the x value will always be zero. {eq}g (0) = 0 {/eq} the {eq}y. About press copyright contact us creators advertise developers terms privacy policy & safety how youtube works test new features press copyright contact us creators. All we need to do is evaluate f(0). This video explains how to determine the x and y intercepts of a polynomial function given in factored form.site: In function notation, that's just f(0). About press copyright contact us creators advertise developers terms privacy policy & safety how youtube works test new features press copyright contact us creators.

{eq}g (0) = 0 {/eq} the {eq}y.

This video explains how to determine the x and y intercepts of a polynomial function given in factored form.site: About press copyright contact us creators advertise developers terms privacy policy & safety how youtube works test new features press copyright contact us creators. {eq}g (0) = 0 {/eq} the {eq}y. In function notation, that's just f(0). How do you calculate slope and y intercept? This is a coordinate and the x value will always be zero. About press copyright contact us creators advertise developers terms privacy policy & safety how youtube works test new features press copyright contact us creators. All we need to do is evaluate f(0).

How do you calculate slope and y intercept? how to find the y intercept of a function. About press copyright contact us creators advertise developers terms privacy policy & safety how youtube works test new features press copyright contact us creators.